威尼斯人app

威尼斯人app 杨岚钦老师在Environmental Research杂志上发表最新研究成果

时间:2024-04-09  来源:  作者:   点击数:

近日,威尼斯人app 最新研究论文“Fractionation of metals in soil for strawberry cultivation: Effect on metal migration in food chain and application in risk assessment”在Environmental Research (IF: 8.3)上在线发表。威尼斯人app 为第一完成单位,威尼斯人app 教师杨岚钦为第一作者,杨岚钦和游文华为通讯作者。

尽管近年来土壤-草莓体系中的重金属受到了不断关注,然而对于草莓生产土壤中重金属的形态分布仍知之甚少。我们假设受草莓生产影响的土壤重金属形态分布不仅会影响土壤-草莓-人体系统中重金属的迁移转化,还会影响土壤中重金属的潜在生态和迁移风险。本研究中以长江三角洲的设施草莓生产基地为研究对象,采集土壤和草莓样本,验证上述假设。

结果表明,草莓生产土壤中酸溶态的Cr、Cd和Ni比露天大田土壤中的高出21.5%-88.3%(图1)。草莓生产土壤中增加的酸溶态Cr、Cd和Ni可增加草莓中这些重金属的吸收以及生物可给态含量。

图1. 草莓生产土壤和露天大田土壤中重金属的各形态含量


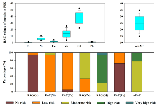
此外,70%以上土壤中存在高含量的生物可利用性Cd,可导致中等潜在生态风险。类似地,70%以上土壤中的Cd存在高的迁移风险(图2)。整体上,草莓生产土壤中增加的酸溶态Cr和Ni主要与草莓生产中大量施用氮肥导致的土壤酸化有关。而草莓生产土壤中增加的酸溶态Cd以及Cd引起的生态与迁移风险主要与草莓生产中大量施用有机肥引起的Cd和有机质累积有关。对草莓生产中氮肥和有机肥的施用进行优化,可改变土壤中重金属的形态分布,从而控制其食物链迁移及其风险。

图2. 草莓生产土壤中重金属的迁移风险

该研究成果得到了江苏省研究生实践创新项目、威尼斯人app 高级人才科研启动基金以及威尼斯人app 应急管理威尼斯人app 教育教改项目的资助。文章链接://www.sciencedirect.com/science/article/pii/S0013935124007448。

友情链接:

电话:0511-88790955 邮箱:[email protected]

地址:威尼斯人app 威尼斯人app 新大楼(基础实验楼)

copyright © 威尼斯人app-威尼斯人App平台   版本号:4.0.0